dimanche 20 mars 2011

Commande en boucle fermée

1 Structure de base :
      La structure de commande en boucle fermée peut prendre plusieurs configurations. La configuration la plus utilisée, quand le modèle employé est sous forme de fonction de transfert, est celle de la figure II.1.a., souvent appelée la configuration cascade. Par contre, quand le modèle est donné sous forme de modèle d'état, la structure utilisée est celle de la figure II.1.b. Cette configuration est celle de la commande par retour d'état.
2 Performances des systèmes en boucle fermée:

En général, lors de la conception de la commande d'un système donné, on cherche à assurer certaines qualités au système et à lui imposer les formes de réponses associées à des excitations de type donne et à des conditions initiales données. En d'autres termes, ceci revient à imposer au système commandé d'être stable avec des régimes transitoire et permanent satisfaisants. D'un autre côte pour des raisons telles que les variations des paramètres du modèle du système, la présence de perturbations, etc... On cherche aussi à assurer au système asservi une certaine insensibilité aux variations des paramètres ainsi que le rejet des perturbations indésirables.     
L'obtention de ces performances est garantie par l'emploi d'une commande en boucle fermée
 2.1 Réponse et Stabilité:                                                                           jjjjjj
Considérons le schéma bloc de la figure II.2:
En utilisant le théorème de superposition, on obtient l'expression suivante de la grandeur de sortie Y(s):
La forme de la réponse d'un système donné à une excitation de forme donnée est altérée par tout changement du gain de la chaîne directe du système asservi.
II.1.2.2 Rejet des perturbations:
      Pour réduire l'effet de la perturbation on joue sur le correcteur C(s) en vue d'augmenter le gain de la boucle directe. Ce qui revient à choisir C(s) tel quel:
Ceci entraîne que la fonction de transfert entre la grandeur de sortie Y(s) et P(s) est approximativement nulle est que celle entre la grandeur de sortie Y(s) et R(s) est:
En supposant que la mesure est parfaite, c'est-à-dire H(s)=1, la grandeur de sortie Y(s) suit le signal de référence dans la bande de fréquence pour laquelle le gain de la boucle directe est grand. Ceci entraîne le rejet de la perturbation.
II.1.2.3 Sensibilité:
      La sensibilité est une indication de l'impact des variations des paramètres du système sur les performances.
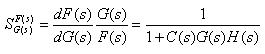
La commande en boucle fermée est reconnue pour sa capacité à réduire la sensibilité du système, pour montrer ceci, la sensibilité de la fonction de transfert en boucle fermée F(s) par rapport à G(s). Donnée par:
      Il est évident, à partir de cette expression, que la sensibilité est réduite par un choix  approprie du correcteur C(s) qui assure la condition suivante:
Plusieurs raisons font que les paramètres d'un système donné changent, ce qui peut répercuter sur les performances du système. L'emploi de la commande en boucle fermée réduit la sensibilité à des variations de paramètres.

Aucun commentaire:

Enregistrer un commentaire